Resumen de resultado clínico

Evaluación del beneficio de la hidroterapia con Agua Termal de Avène sobre el prurito crónico en adultos con psoriasis en placas, bajo control dermatológico.
Estudio comparativo multicéntrico frente a grupo control (sólo tratamientos convencionales)
Población
44 sujetos adultos de 29 a 80 años de edad con prurito crónico moderado a grave relacionado con psoriasis en placas, y en tratamiento sistémico y/o tópico estable.
La psoriasis en placas es una enfermedad crónica que se caracteriza por un prurito moderado a grave.
Aplicación Agua Termal Avène
Protocolo de hidroterapia durante 3 semanas, y 6 meses de seguimiento
Criterios de evaluación
- Intensidad del prurito (puntuación NRS de 0 a 10)
- Impacto en la calidad de vida de los sujetos (puntuación ItchyQoL)
Resultados
- Mejoría altamente significativa en la intensidad media del prurito durante los 3 días posteriores (NRS) para el grupo de hidroterapia al final de la fase de hidroterapia (-50%, p<0,001) y durante todo el periodo de seguimiento (-53% en V3/3 meses, -48% en V4/6 meses, p<0,001)
- Diferencia significativa frente al grupo control en todas las visitas (p<0,001 en V2 y V3, p<0,05 en V4)
.

Cambio en la puntuación del prurito durante los 3 días posteriores (NRS)
durante la fase de hidroterapia y la fase de seguimiento
* p= estadísticamente significativo (p<0,05, frente a V1)
** p= estadísticamente altamente significativo (p<0,001, versus V1)
* p= estadísticamente significativo (p<0,05, análisis intergrupos)
** p= estadísticamente altamente significativo (p<0,001, análisis intergrupos)
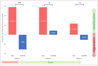
- Mejora significativa de la intensidad del prurito en comparación con la inclusión (vDPS) en el grupo hidroterapia al final de la fase de hidroterapia (+58%, p<0,001) y a lo largo del periodo de seguimiento (+58% en V3/3 meses, p<0,001 ; +24% en V4/6 meses, p<0,05). Empeoramiento en el grupo control en todas las visitas
- Diferencia significativa frente al grupo control en todas las visitas (p<0,001 en V2, p<0,05 en V3/3 meses y V4/6 meses)

Evolución de la intensidad del prurito frente a la inclusión (vDPL)
durante la fase de hidroterapia y la fase de seguimiento
* p= estadísticamente significativo (p<0,05, frente a V1)
** p= estadísticamente muy significativo (p<0,001, frente a V1)
* p= estadísticamente significativo (p<0,05, análisis intergrupos)
** p= estadísticamente altamente significativo (p<0,001, análisis intergrupos)
- Mejoría altamente significativa de la calidad de vida (ItchyQoL) en el grupo de hidroterapia al final de la fase de hidroterapia (-36%, p<0,001) y durante todo el periodo de seguimiento (-33% en V3/3 meses, -27% en V4/6 meses, p<0,001)
- Diferencia significativa frente al grupo control en todas las visitas (p<0,05)
.

Cambios en la puntuación de la calidad de vida (ItchyQoL)
durante la fase de hidroterapia y la fase de seguimiento
* p= estadísticamente significativo (p<0,05, frente a V1)
** p= estadísticamente altamente significativo (p<0,001, versus V1)
*
Conclusión
La hidroterapia con Agua Termal Avène proporciona beneficios a largo plazo como tratamiento complementario del prurito de moderado a grave asociado a la psoriasis en placas
Más resúmenes de resultados clínicos
¿Quiere seguir leyendo?
Este acceso está reservado a los profesionales, registrados en Pierre Fabre For Med.
Para acceder al contenido completo, regístrese o identifíquese si ya tiene una cuenta.